必赢bwin线路检测中心
中文
|
English
必赢bwin线路检测中心
学院概况
学院简介
院长致辞
学院领导
组织结构
学术委员会
学位委员会
师资力量
师资队伍
教辅人员
荣休教师
外聘教师
科研活动
科研项目
科研管理
教学管理
本科生管理
研究生管理
留学生管理
双学位管理
招生就业
招生动态
就业信息
研究中心
学生工作
党团活动
就业信息
院友会
必赢bwin线路检测中心留学生登上央视频道
必赢bwin线路检测中心
>
通知公告
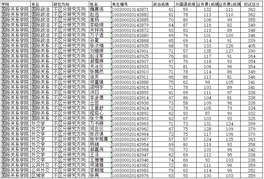
必赢bwin线路检测中心2020年硕士研究生入学考试复试名单
作者: 时间:2020-05-10 点击数:
上一篇:
必赢bwin线路检测中心2020年硕士生招生复试工作方案
下一篇:
第三届中国国际关系女学人论坛暨“妇女•和平•安全”高端学术研讨会通知
培养项目
本科项目
本科双学位项目
研究生项目
留学生项目
同等学历
短期培训项目
版权所有 必赢bwin(中国)线路检测中心-3003no1.com